お問い合わせ

技術資料Application Note

技術資料

F-Theta スキャン レンズ アプリケーション ノート

Ronar-SmithR F-Theta スキャン レンズは、幅広いレーザ用途向けに細心の注意を払って設計および製造されています。 Ronar-SmithR スキャン レンズは、光学グレードとコーティングの製造における 10 年以上の専門知識により、市場で世界最高の光学性能を実現しています。 また、お客様のご要望に応じたカスタマイズサービスも提供しております。

当社の F-Theta スキャン レンズは、レーザ材料加工、特に彫刻、切断、溶接、接着に最適化されています。 スキャン レンズは、動作波長テレセントリック (TSL-Q および TSL シリーズ) 構成と非テレセントリック (SL-Q および SL シリーズ) 構成で利用できます。 追加の波長が必要なビジョン システム用に、テレセントリック (TSLA シリーズ) 構成と非テレセントリック (SLA シリーズ) 構成の色消しスキャン レンズを提供します。

動作原理
F-θスキャンレンズ

レーザ材料加工のほとんどのアプリケーションでは、高品質の出力を得るために平面イメージング フィールドが必要です。 近軸レンズなどの従来の光学系は球面のみに焦点を合わせるため、平面上で結像する際に球面収差などの歪みが生じます。

        

                        図 1

フィールド平坦化レンズは、平坦な焦点フィールドを作成することで球面フィールド配向光学系の課題を解決しますが、その代償として非線形動作が誘発されます。 有効焦点距離 (??) と偏向角 (??) の間の変位項は、この非線形性 (?? ? Tan ??) により、走査ミラーの均一な動き (つまり、一定の走査速度) を妨げます。 また、視野角が狭くなり、倍率の変化と視覚システムによる観察された測定値との間に不正確さが生じます。 この非線形性を解決するために、F シータ レンズはビーム変位が偏向角の正接に依存しないように設計および設計されています。

F シータ レンズは、?? と ?? の間に線形依存性を提供し、一定の角速度で回転するスキャナ (ミラー付き XY 検流計) での使用に最適な線形変位を生成します。 スキャナの固定速度は、平坦な焦点フィールド上の焦点の一定速度に対応し、電子ノイズ補正はほとんどまたはまったく必要ありません。 非線形補償のための複雑なスキャナ アルゴリズムが排除されるため、正確で安全かつ安価なソリューションが顧客に提供されます。

                      図 2

当社の F-θ スキャン レンズは、幅広い用途向けに設計されています。 UV、VIS、NIR、CO2 レーザーに至るまでの幅広い波長で利用可能です。 また、波長固有のアプリケーション向けのカスタム ソリューションも提供します。

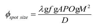
                   図 3. スポット サイズ図

F シータ スキャン レンズは、平面上でスポット サイズが変動する可能性があり、スポット サイズ図のプロットは、検流計の XY 軸上の両方のミラーの角度移動の結果として生じる典型的な変動に関する詳細情報を提供します。 スポット サイズの変動は、次の式を使用して計算することもできます。

入射瞳/ビーム径D APO
2.0 1.27
1.5 1.41
1.25 1.56
1.0 1.83
0.9 1.99
0.75 2.32
0.5 2.44

             表 1. APO はビーム直径 D と入射瞳の比に関する係数です。

テレセントリックスキャンレンズと非テレセントリックスキャンレンズ

Ronar-SmithR F-Theta スキャン レンズは、お客様の幅広い産業要件を満たすように設計されています。 レーザ材料加工でレンズ倍率と深さに依存しない一定の視野が必要な場合は、物体空間テレセントリック レンズをお勧めします。 焦点面の仕上げ品質に対する要件がそれほど厳しくないプロセスの場合、非テレセントリックレンズは顧客の満足度に応えることができます。

テレセントリック性は、レーザ加工中に材料の表面に照射されるレーザビームの入射角を表します。 一般に、焦点面上のすべての点の入射角は同じですが、非テレセントリック レンズでは、同じ面上の異なる点での入射角が異なります。 テレセントリック性の最終結果は、視差誤差の影響を軽減しながら、物体空間フィールド上に再現性のある均一なスポット サイズ分布を生成します。



色消しスキャンレンズ

Ronar-SmithR F-Theta アクロマート スキャン レンズは、球面収差と色収差を制限し、2 つの異なる波長 (実効波長と可視波長) を同一平面上に取り込むように設計されています。 これにより、可視(フィードバック)波長とレーザービームの波長が時間的および空間的に一致することを保証しながら、レーザー材料プロセス中に波長固有のレーザービームの透過が可能になります。 当社の色消しスキャン レンズは、製品の品質が損なわれないようにしながら、自動化制御とフィードバックのための産業プロセスにおけるマシン ビジョンを可能にします。

                     図 5. 色消しレンズ


重要な定義:

開口絞り面

F-Theta は通常、レーザ スキャン システムで使用されます。 作業波長は単一波長であり、加工物は平面です。 F-Theta レンズは、広い視野と小さな相対的なシステム設計に属します。 この場合、開口絞りの直径はレーザビームの直径と等しくなります。 2D ガルボ スキャナ システムには、実際には光学開口瞳がありません。

ミラーを 1 つだけ使用する場合、開口絞りはミラー上にあります。 2 枚のミラーを使用すると、開口絞りが 2 枚のミラーの中央に位置するため、ビームが傾きます。 通常、彼らは 2 つの検流計を使用し、2D 平面上にビームの焦点を合わせます。

実際のアプリケーションでは、いかなる種類の開口部も作成するための機械的な境界はありません。 設計時には、以下の図に示すように、2 つのミラーの中央に絞りが配置されます。



                        図6. 絞り面の図

スキャン角度

通常、F-Theta レンズには 2 つのスキャン角があり、1 つのスキャン角は光学的スキャン角であり、もう 1 つは機械的スキャン角です。 光学スキャン角度はレンズの視野であり、最大スキャンフィールドの対角長を決定します。

F-Theta レンズの仕様には通常、光学スキャン角度が記載されており、図は次のとおりです。

     

                        図 7. 光学スキャン角度

機械的スキャン角度はスキャニングミラーに関係します。 通常、これは 2 つのミラーの回転角度であり、2 方向からのスキャン範囲を制御します。 ガルバノスキャナ システムでは、スキャナの仕様はミラーの機械的スキャン角度を指します。

概略図は次のとおりです。

                        図 8. 機械的スキャン角度


2 つの機械式スキャニングミラーをそれぞれミラー X 角度とミラー Y 角度として使用し、それらと光学スキャン角度との関係は次のようになります:
      (ミラー X 角度)2 + (ミラー Y 角度)2 = (光学スキャン角度 / 2)2


後方反射

後方反射ゴーストは、スキャニングレンズからの表面反射です。 反射された焦点はさまざまな位置に表示されます。 ピコ秒またはフェムト秒のパルスレーザを使用する場合、反射された焦点により、レンズ表面のコーティングやレンズ素材が損傷しやすくなります。

これはデザイナーにとっての挑戦です。 最適化において、設計者は設計のパフォーマンスを考慮するだけでなく、レンズ上の反射焦点を避けることも考慮する必要があります。

                        図 9. 後方反射


UVスキャンレンズ: 大面積の精密レーザ加工

355nm の UV レーザは微細加工ツールとして有利です。 この波長のレーザ光は主に光アブレーションを通じて材料と相互作用し、高エネルギー光子が分子結合を破壊し、周囲の材料への破壊的な影響を最小限に抑えながらきれいな切断を実現します。 マイクロエレクトロニクスから医療機器の製造に至るまで、固体 UV レーザはマイクロマシニング業界に低い運用コストで高い多用途性を提供します。 大面積のスキャン範囲に対する需要と、レーザ加工ビームと画像検査ビームの両方に対する光学システム設計の簡素化により、レーザシステムの重要なコンポーネントであるスキャンレンズに新たな課題が生じています。


動作原理

スキャン レンズの 2 つの主な設計カテゴリには、テレセントリックおよび非テレセントリック F-Theta スキャン レンズが含まれます。 テレセントリック F-シータ スキャン レンズは特殊なタイプのレンズ システムで、偏向されたオフアキシャル レーザ ビームをオンアキシャル集束ビームと同様にワークピース上に垂直に集束させることができます。 テレセントリック走査レンズの利点は、走査フィールド全体にわたって優れたスポット品質を提供しながら、像面湾曲を平坦にして歪みを最小限に抑えられることです。 全体的な設計コンセプトを図 1 に示します。

                  図 1. テレセントリック F-Theta レンズのレイアウト

ビジョンシステムがレーザ加工システムに統合されている場合、当社の色消しテレセントリックスキャンレンズは、作業波長と視覚波長の間で色補正されます。 アクロマチックテレセントリックスキャンレンズは、正確なビジョン位置決めを提供しながら、通常のテレセントリックレンズと同じ利点を提供します。 設計レイアウトを図 2 に示します。

            図 2. 色消しテレセントリック F-Theta レンズのレイアウト

UV スキャン レンズの主な仕様は以下のとおりです。 市場の同様の製品と比較して、当社はより広いスキャン領域と無彩色性能の柔軟な設計を提供します。 高出力レーザおよびレーザ光源向けに、熱レンズと焦点シフトを最小限に抑える特別な Q シリーズを提供しています。

  テレセントリック 色消し テレセントリック 非テレセントリック 色消し 非テレセントリック
波長(nm) 355 355 /635 355 355 /635
EFL (mm) 420 120 800 328
WD(mm) 560 85.4 646 265
直径(mm) 354 80 298 104
入力ビームΦ(mm) 14 6 25 6
スキャンフィールド (mm) 300 x 300 50 x 50 600 x 600 212 x 212

                    表 1. UV スキャン レンズの仕様


アプリケーション

広いスキャン領域は、高スループットの精密レーザ加工に有利です。 これは、ディスプレイエレクトロニクスの高速製造が必要な場合に不可欠です。 例えば 柔軟で大面積のOLEDプロセスにおけるレーザリフトオフ。 これらのスキャンレンズは、当社のカスタマイズされた設計のビームエキスパンダー (調整可能から自動化までの多彩なビーム拡張の WOE アプリケーションノートを参照) および新しい設計のビームシェイパーと連携して動作できます。(WOE アプリケーション ノート「ビーム シェイパー ? DUV から MIR へのビームの整形」を参照)。